-
3月19日
2023年4月份中国申请人获得的美国移民签证和非移民签证数量
作者:美签大鹤|优势:精通申请美签的规范流程,避免美国签证拒签,美签策划
-
从2005年开始研究各类美国签证(提供美签全方位策划),可以一对一语音连线通话!
提供214B美国签证被拒签的解决方案!擅长B1签证,B2签证,F1签证,DS160填写奥秘,润色加分DS160表,申请美国签证面谈加分策划!美国工卡,绿卡,商婚,H1B工签,K1签证,J1签证,L1签证,政庇,U类签,EB1A,NIW,EB1C,EB3,EB5,美签拒签原因查询,美国工作安排,美国公民婚姻资源对接,雇主担保移民!赴美生子全程协助(省钱省时省力),美国移民类签证、美国非移民类签证相关问题解答,以及出境入境的方案策略提供! 可以办理、可以咨询、也可以全方位策划,全球接单!热情服务!可以和大鹤语音连线沟通!

文章仅代表大鹤观点,不想触犯任何国家的法律,内容如有不妥,请私信大鹤删除!一起来看美国国务院公布的4月份中国申请人获得的美国移民签证和非移民签证数量:

一、移民签证
CR1(美国公民申请配偶的移民类别,但两人的婚姻未满2年):5个
E1(EB-1):198个
E2(EB-2):36个
E3(EB-3):16个
F1(美国公民申请21周岁以上的未婚子女的移民类别):20个
F2B(美国合法永久居民申请21岁以上未婚子女的移民类别):21个
F3(美国公民申请21周岁以上的已婚子女的移民类别 ):37个
F4(美国公民申请年满21周岁的兄弟姐妹的移民类别):134个
IR1(美国公民申请配偶的移民类别,两人的婚姻已满2年):92个
IR2(美国公民申请结婚已满两年配偶的未满21周岁未婚子女的移民类别):47个
IR5(美国公民申请父母的移民类别):541个
SB1(回美证):12个
I5(EB-5区域中心):703个
4月份所有移民签证类别中, I5(EB-5区域中心)签发数量最多,有703个,其他较之前有下降。
二、非移民签证

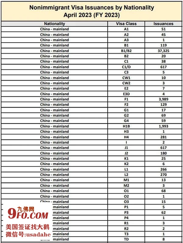
图源:美国国务院网站
B1/B2(商务旅游签证):37325个
F1(学生签证):3989个
F2(陪读签证):129个
H1B(工作签证):1993个
L1(跨国经理人签证):266个
L2(跨国经理人家属签证):270个
K1(未婚夫妻签证):25个
J1(交流访问学者签证):617个
J2(交流访问学者家属签证):180个
C1/D(美国过境签证/船员和机组人员签证):617个
2023年4月份,B1/B2签证签发数量还可以,有37325个,除此之外,中国籍学生获得赴美留学F1签证有3989个,H1B签证有1993个,J1签证有617个,L1签证266个。
我是大鹤,读音dahe,美国签证全方位策划17年经验,精通申请美签的规范流程,B1签证,B2签证,F1签证,DS160填写奥秘,润色加分DS160表,申请美国签证面谈加分策划,美国工卡,绿卡,商婚,H1B工签,K1签证,J1签证,L1签证,政庇,U类签,EB1A,NIW,EB1C,EB3,EB5,美签拒签原因查询,美国工作安排,美国公民婚姻资源对接,雇主担保移民,赴美生子全程协助,美国移民类签证,美国非移民类签证以及出境入境的方案策略。
美国简单来说就是:usa
大小的大,仙鹤的鹤,拼音就是:dahe
合并起来美国签证找大鹤 微信号:usadahe
美国签证找大鹤是从2005年开始研究美国各类签证的,包括美国绿卡工卡等,美国签证找大鹤是国内做美国签证较早的,诚信度较高,主意多、好点子多!美国签证找大鹤可以成为你的谋士,帮你出谋划策。移民美国后遇到的难题,也可以请谋士美国签证找大鹤帮你出主意。

【九佛美签网】美国签证找大鹤(微信号:usadahe)当时在美国纽约华尔街拍摄的,网址是用A4纸打印出来,然后塑封一下。即使他们不认识你,他们也会热心的,毫无戒备的帮你做一个美签策划广告。这个事如果在中国是很难的,毕竟我们中国人警惕性非常高,这或许就是文化上的差异吧! 那么,为什么取名为九佛网9fo.com? 原因很简单:第一个字符是数字9,在单个数字中9是最大的,好记; 第二三个字符是fo,是佛的拼音,哈佛大学的佛,佛在单个汉字中含义也是最大的,也好记; 合起来就是九佛网,和佛教没什么关系,只是佛系,讲诚信讲道德; 网址加不加www或者大小写都可以访问,后缀com或者cn都可以访问。 其他原创文章- 美国O1签证和H1B工作签证有哪些区别?
- 保护美签客户的隐私
- 美国签证为什么容易被拒签?
- 美国签证攻略(美签攻略)对通过美国签证有多大的作用?
- 美国签证拒签后能否马上再签?美签拒签原因调档查询
- 美国签证包通过办理机构大包落地签出后付款是否靠谱?
- 怎么办理美国签证?常见办美签的方法有哪些?
- 美签终身被拒签无法通过美国签证怎么办?
- 美签办理:申请美国签证需要准备哪些材料?
- 申请美国签证是自己办理还是找中介办理?
- 申请美国签证有哪些注意事项不容易被拒签?
- 美国签证找大鹤能为你做什么?
- 美国签证大包落地看似公平,其实最不靠谱
- 美国签证攻略(美签攻略)有用还是没用
- 美国签证找大鹤戏谈陈哥
- 美国生孩子(赴美生子)与美国国家安全
- 去美国并不是必须找美国签证代办机构
- 美国签证认知方面的误区
- 美国签证,美国入境76个小问题
- 重点推荐?:保护美签客户的隐私
- 什么是美国签证?
- 什么是EVUS?入境美国必须要了解的
- 美国海关拒绝入境怎么办?!
- 在美国逾期滞留后怎么办?
- 在美国发生交通事故如何用英语沟通,有些话千万不能说
- 不要把美国签证商务邀请函过于神化
- 美国F1学生签证关于OPT
- 出境记录俗称刷本,这是一把双刃剑
- 美国签证拒签原因查询这完全是个骗局
- 新加我为好友的请看
- 赴美请大鹤做军师,需提前付费用
- 大鹤教你细化填写美国签证申请
- 为什么大鹤敢说自己美国签证经验第一?
- 刷护照,趟旅行记录是一把双刃剑
- 福建人可以拿美国签证吗
- 大鹤的美国签证全方位协助究竟是什么?
- 为什么说办理美国签证不要懒,要学习
- 去美国的最佳方式是什么?
- 美国签证全方位策略执行新价格
- 美国签证办理之前必读
- 美国签证全方位策略协助执行新价格
- 美国究竟好不好?
- 去美国生孩子如何防止被坑被骗
- 在美国做华人接送(出租)注意事项?
- 旅行社、中介公司帮你填表应该收取你多少钱?
- 世界上价值昂贵的超短网址
- 年轻人士申请美国留学F1签证就好通过?
- 办理美国签证,我不建议你找中介。
- 如何按大鹤的方法,没有通过美国签证怎么办?
- 办美国签证不是必须找中介和旅行社
- 美国签证怎么办理?
- 申请美国签证,写好简历很重要【DS-160】
- 为什么拒签你?
- 去美国的最佳方式是什么?
- 美国签证办理流程及所需材料?
- 已有美国签证,听入境以及后续策略风险规避
- 九佛网美签策略讲解三大块
- 美国签证需要准备哪些材料?
- 申请美国签证有哪些错误的观念?
- 美国签证拒签原因都有哪些?
- 美国签证找大鹤曾被美国大使馆多次拒签
- 美国留学签证办理流程
- 美国签证找大鹤拍摄美国洛杉矶海滩众生相(Long Beach)
- 无论买房和还是卖房,这都需要很高的技术含量
- 偷渡走线非法入境美国会怎样?有哪些后果?
- 美国汇款中国或者中国汇款美国最佳 方法问我
- 2004年我看了周星驰的电影《功夫》于是开始炒房子
9在单个阿拉伯数字中是最大的,
fo在单个汉字中含义最大,佛拼音fo
合并起来就是:九佛美签网9fo.com

如何正确的赴美?
应该寻求谁的全方位策划帮助?
有些人想去美国旅游
有些人想去美国商务考察谈生意
有些人想去美国探亲
有些人在美国,想给亲人办美国签证来USA
有些人想去美国留学
有些人想做访问学者
有些人想申请美国绿卡
有些人想办理投资移民EB5
有些人想办理EB1C、EB3等等
还有些人想去美国生孩子
有些人想办理美国旅游签证抵达美国以后想申请工卡
有些人想做政治庇护不知道找什么样的律师
等等...大鹤微信号:usadahe
所有的这一切赴美,都是需要一定正确的操作流程
那么,大鹤在这里建议你:付费买经验,少走弯路,节省时间。
【全球接单】付费以后可以和usadahe语音连线
【花小钱解决你美国签证以及入境美国的相关问题】
语音连线听一下:美国签证申请流程步骤、DS-160填写策略、面签策略等等,绿卡方面出入境风险规避、以及哪些坑要小心。
大鹤是从2005年做到现在的,每天都在对接赴美的客户,得到了大量真实的案例经验。有人稀里糊涂拿到了美国签证,但是,这个并一定绝对是好事,因为他赴美知识不全面,他在入境美国的时候被拒绝入境,被遣返了,也就是怎么坐着飞机到的美国,又怎么坐着飞机返回的中国。这个就是入境风险规避。
事实:有些人主观目的就是打算来USA旅游的,但是遭遇到了拒签或者遣返。我常说的一句话就是:美国不是以你的主观意识,而决定是给予你通过签证还是让你入境USA的,有些人的的确确主观意识就是想来美国旅游的,但是照样会被拒签和遣返。
赴美,从申请签证,到入境,而后再到在美国停留期间的注意事项,这些都有必要和大鹤语音连线深度了解一下,大鹤拥有多年的经验和大量真实的案例。 如果你想保护自己的个人隐私,个人信息,我也可以教会你申请美国签证所有的申请流程步骤,你不需要向我透露任何你的隐私信息就可以完成申请美国签证的流程步骤。最安全的申请赴美方式就是不要找旅行社或者中介机构,这样你的任何个人隐私信息也不会透露给其他人,你完完全全学会并且搞懂了整个的赴美流程,直接对接的是美国大使馆签证中心。
大鹤,读音dahe ,我是美国签证找大鹤,微信号:usadahe如果同意付费就加微;如果不同意付费,就不用加了。广告语:美国签证找大鹤,诚信靠谱又专业!美国签证全方位策划,一对一定制美签方案(美国工卡美国绿卡美国移民)
文章均为:美国签证找大鹤原创,转载请注明出自https://www.qfdx.com/9fo/view.asp?id=7245
用户隐藏评论后,会出现此文字,请进入后台,在右上角选择【主题配置】即可修改此信息!
